您好!欢迎进入宁夏商贸职业学校官方网站!
设为主页
|
加入收藏
|
教务管理
|
OA办公
|
校长信箱
|
征兵宣传
|
扫黑除恶
|
数字图书馆
|
English
宁夏商贸职业学校
网站首页
学校概况
学校简介
现任领导
影像宁语
校园活动
机构设置
系部设置
公共安全与服务系
教育管理系
医疗卫生系
机电工程系
财经商贸系
行政教辅
学校办公室
人事处
后勤集团
保卫处
教务处
学生处
招生就业指导中心
党群机构
新闻中心
通知公告
校内动态
国内新闻
宁语故事
党建工作
教育教学
德育大讲堂
招生就业
合作交流
招生报名
English
新闻中心
通知公告
校内动态
国内新闻
宁语故事
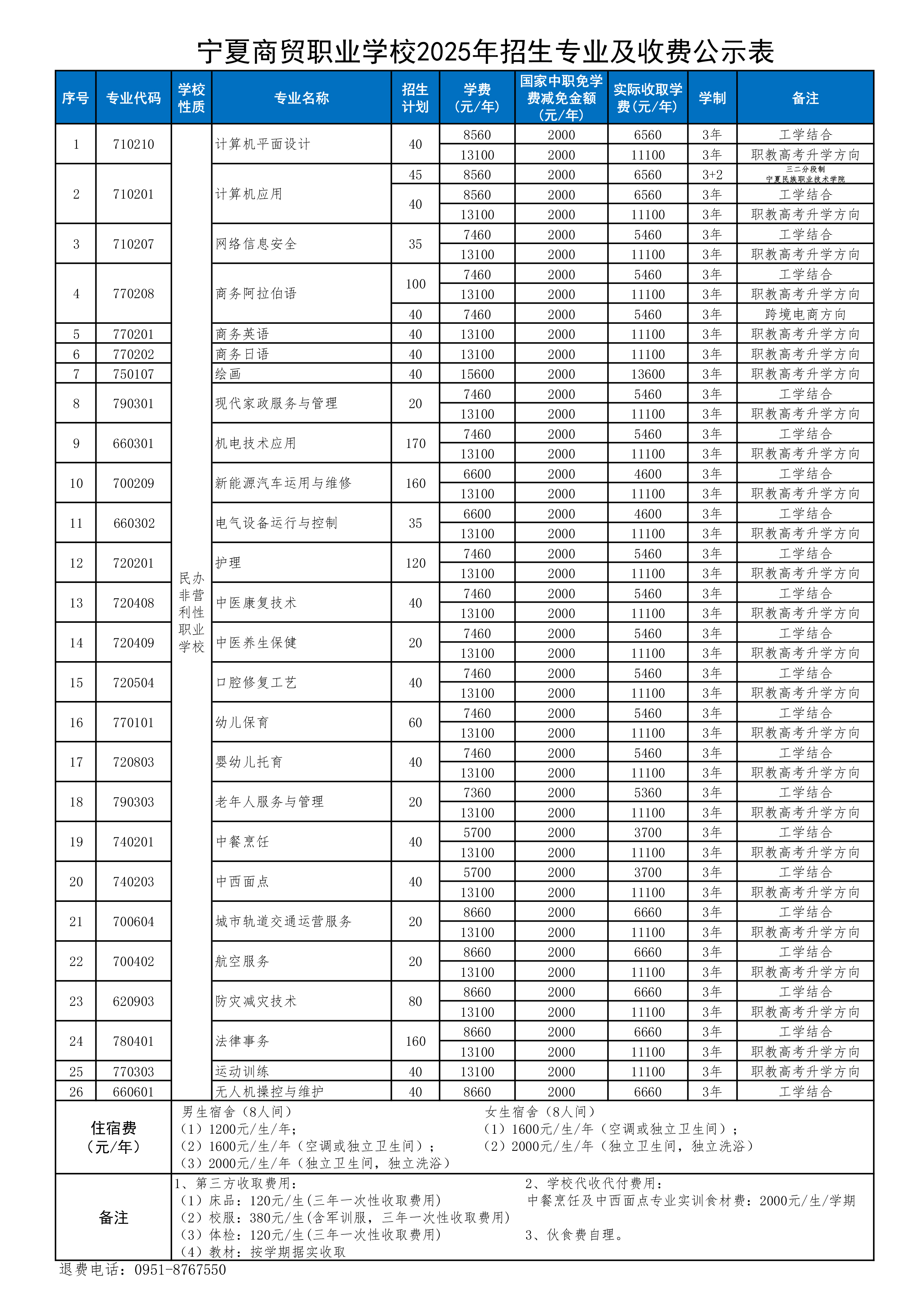
宁夏商贸职业学校2025年招生专业及收费公示表
2025-06-25 18:10:17